이전에 말했듯, 고분자의 유체는 '뉴턴 영역'과 '비뉴턴 영역'으로 나뉜다.
그리고 뉴턴 영역은 1차, 2차 영역으로 나뉘는데, 전단율이 0에 가깝거나 무한대에 가까울 때 점도가 일정한 영역을 말한다.
즉, 전단율과 전단력이 비례하며, 반면, 비뉴턴 영역은 전단율과 전단력이 비례하지 않아 전단율에 따라 점도가 달라지는 영역을 말한다. 멱 법칙을 따르기 때문에 'power law region'이라고도 불린다.

뉴턴 유체를 좀 더 자세히 살펴보면, 아래 수식으로 나타낼 수 있다.
여기서 'Tau'는 '전단응력', 'du/dx(=γ ̇)'는 '전단율'을 의미한다. 그리고 'μ=η'는 같은 의미로서 '점도(viscosity)'를 뜻한다.
즉, 전단율과 전단력은 항상 같이 비례하기 때문에 점도는 항상 같은 값이 나온다. 응력과 전단율을 기울기로 만들면 굴곡 없는 사선이 나오며 power law index인 n은 1이 나온다.
이러한 성질은 보이는 것이 뉴턴 유체이며, 뉴턴 유체의 특성을 보이는 영역을 뉴턴 영역이라 그런다. 앞서 말했듯, 뉴턴 영역은 전단율이 0에 가깝거나 무한대에 가까울 때 뉴턴 유체의 특성을 보인다.

하지만 대부분의 유체는 뉴턴 유체가 아니며, 전단율과 전단력은 비례하지 않는다.
즉, 점도가 일정하지 않다. 그래서 '오스트발트-드웰'은 뉴턴 유체와 비뉴턴 유체에 대해 아래와 같은 관계식으로 표현했다.


여기서 K(T)는 온도에 따른 점도를 의미하며, Y축으로 표현이 가능하므로, K(T)는 zero shear rate viscosity로도 표현이 가능하다. 오스트발트-드웰의 비뉴턴 유체 관계식은 뉴턴 영역을 고려하지 않아 마찬가지로 사선의 그래프를 나타낸다. 다만, 이것 역시 비뉴턴 영역만 고려하므로, 실제 유체와는 맞지 않다.
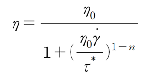
그래서 뉴턴의 점도 법칙과, 오스트발트-드웰 관계식을 참고하여 나온, 온도, 전단율, 전단력에 따라 뉴턴 영역과 비뉴턴 영역을 모두 고려할 수 있는 모델이 Cross, Carreau 등에 모델들이다.
각 모델들은 조금씩 수정되어 가며 완성되었고, 모델에 따라 아레니우스 점도 법칙을 따르거나, WLF 점도 법칙을 따른다.


이걸 그래프로 나타내면 아래와 같이 나타낼 수 있다.

- 2021.06.27 - [과학과 공학 이야기/고분자] - 아레니우스 식에 대한 요약 및 정리, 아레니우스 점도
- 2021.02.14 - [과학과 공학 이야기/고분자] - 고분자의 점도 특성, 점성과 뉴턴영역, 전단박화
아레니우스 식에 대한 요약 및 정리, 아레니우스 점도
아레니우스 식 (Arrhenius Equation)은 반응속도의 온도 의존성 나타내는 식이다. 반응속도의 온도 의존성을 예로 들면, 음식은 시간이 지나면 상한다. 하지만 온도가 낮은 냉장고를 사용하면 상하는
washere.tistory.com
고분자의 점도 특성, 점성과 뉴턴영역, 전단박화
고분자는 점성과 탄성을 모두 지니고 있는 특성을 가졌다. 점탄성을 가진 추잉 껌을 늘리면 탄성 때문에 원래대로 돌아가려고 하지만, 시간이 지날수록 탄성은 점성으로 변해 원래대로 돌아가
washere.tistory.com
'과학과 공학 이야기 > 고분자' 카테고리의 다른 글
| PVT : Pressure, Volume, Temperature 거동 두 번째 (0) | 2021.07.21 |
|---|---|
| 고분자 결정화 구조, 결정성과 비결정성, 아브라미와 나카무라 방정식 (2) | 2021.07.13 |
| 아레니우스 식에 대한 요약 및 정리, 아레니우스 점도 (6) | 2021.06.27 |
| 고분자의 점도 특성, 점성과 뉴턴영역, 전단박화 (1) | 2021.02.14 |
| 사출 성형(injection molding)과 압출 성형(extrusion molding) 원리 및 발포 성형의 장점(foaming process) (8) | 2021.01.19 |
댓글