물체는 온도에 따라 고체, 액체, 기체로 나뉜다. 여기서 액체(=액상) or 기체(=기상)일 때 점차 일정한 모양과 크기를 갖는 고체 입자를 형성하는 것을 '결정화(crystallization)'이라고 한다. 결정화된 물체를 녹였다가 다시 얼린다면 이는 재결정화라고 한다.
여기서 고분자는 Amorphous(비결정성)과 Crystalline(결정성)으로 나뉜다. 엄밀히 말하면 결정성 고분자는 반결정(Semi Crysatlline)이다.
고분자의 결정구조를 확대해서 보면 아래와 같은 spherulites(구형)의 모양을 가지고 있다. 이때 선형적으로 잘 배열된 결정구조와 그렇지 않은 Amourphous region(비정질 영역)으로 나뉜다. 구조의 대부분이 결정형으로 이루어졌을 뿐, 100% 완벽한 결정성으로 이루어진 고분자는 없기 때문에 반결정성 고분자라고 부르는 것이 좀 더 정확하다.

비결정성과 결정성(=반결정성)으로 나뉘는 고분자는 열적 특성에도 약간에 차이를 가지고 있다. 비결정성 고분자는 비결정형 부분만 존재한다. 비결정형 구조가 녹기 시작하는 온도를 '유리전이온도(Tg)'라고 한다. 유리전이온도는 분자들이 활성화되어 움직이기 시작하는 온도이기도 하다. 그리고 결정형 구조가 녹기 시작하는 온도가 '결정화 온도(Tc)', 결정형 구조가 버틸 수 있는 한계점을 '용융 온도(Tm)'라고 한다.
비결정성은 비결정형 구조만 있기 때문에 유리전이온도만 존재한다. 반면, 결정성 고분자는 결정형과 비결정형 구조가 모두 존재한다. 비결정형이 유리전이온도를 지나 먼저 녹고, 이후 결정화 온도를 지나 결정형 구조도 서서히 녹게 된다. 한계점에 다다르면, 구조에 대부분을 차지하던 결정성 구조가 녹으면서 열용량이 피크를 찍고, 부피가 증가하기 시작한다.

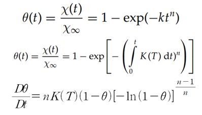
이런 결정화 과정을 수식으로 표현한 사람이 있다. 그는 Avrami(아브라미). 이 사람은 고분자 결정화와 관계된 등온 상태에서의 결정화 속도 관련 수식을 냈다.

여기서 Xc는 결정화 비율을 얘기하며, n은 반응차수. k는 등온 결정화 속도 상수이며, t는 시간을 의미한다. Xm은 고분자의 최대 결정화 비율을 의미하는데, 아브라미는 고분자 최대 결정화 비율을 항상 100%로 맞췄다. 이는 실제와 동일하지 않았다.
이에 나카무라라는 사람이 비등온 결정 속도 상수(K(T))를 보충하여 수식을 만들었다. 여기서 K(T)는 아브라미 수식에 등온 결정화 속도 상수와 관계가 있다. t1/2은 crystallization half time으로 반결정화 시간을 의미하며, DSC와 DSC 소프트웨어를 통해 시간에 따른 결정화도를 구할 수 있다.


나카무라식은 아브라미 수식을 이용할 뿐만 아니라, 호프만과 WLF 등 다양한 학자들의 수식을 이용하고 수정해가며 완성해 나간 모델인데, 너무 복잡스러워서 여기서 더는 쓰지 않겠다.
'과학과 공학 이야기 > 고분자' 카테고리의 다른 글
| 고분자의 유리전이온도, 결정화온도, 용융온도 정의와 차이 Tg, Tc, Tm 차이 (11) | 2021.08.18 |
|---|---|
| PVT : Pressure, Volume, Temperature 거동 두 번째 (0) | 2021.07.21 |
| 뉴턴 유체와 비뉴턴 유체 정리, Newtonian fluid, Non-Newtonian fluid (0) | 2021.07.03 |
| 아레니우스 식에 대한 요약 및 정리, 아레니우스 점도 (6) | 2021.06.27 |
| 고분자의 점도 특성, 점성과 뉴턴영역, 전단박화 (1) | 2021.02.14 |
댓글