'LSV'(Linear sweep voltammetry : 선형주사전위법)
대표적인 전기화학 측정법 중 하나이다. 이는 CV(cyclic voltammetry : 순환 전압전류법)과 원리는 거의 동일하다.
▲ CV와 마찬가지로 3전극 측정법(기준전극, 상대전극, 작업전극)이며, 작업전극에서 초기 전위를 설정한 뒤, 양 혹은 음의 방향으로 전압을 변화시키며 전류-전위 곡선을 측정하는 방법으로 산화 환원 지점을 알 수 있다. *Scan rate는 원하는 속도로 설정한다.
▲ 즉, 순환전압전류법은 특정 전압 범위를 주면 그에 따라 양방향으로 전위가 순환하며 측정하는 방식이라면, LSV는 단일방향이다.
한마디로 전압을 한 방향으로(양 혹은 음의 방향)으로 주사하는 방법이며, 이때 전위의 속도(Scan rate)는 일정하다.

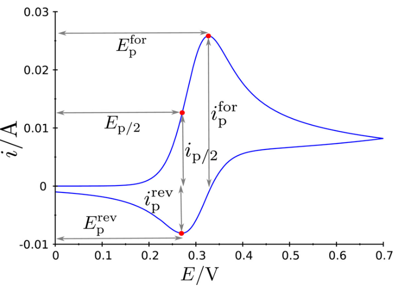
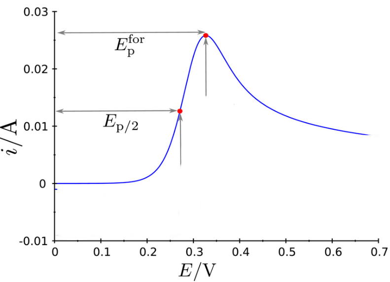
예를 들어 하단 이미지와 같이 0~0.7V의 범위에서 CV 측정했다고 해보자.
만약 동일한 방식으로 초기 전위 0에서 양방향으로 0.7V까지 LSV를 찍었다면 오른쪽 모양과 같은 모양이 나온다. 반대로 초기 전위 0.7V에서 음의 방향으로 0까지 측정을 한다면 CV에서 음의 방향으로 나온 그래프 모양이 나올 것이다.


위 CV와 LSV 예시처럼 전압을 인가함에 따라 전류가 증가하다가 한계점을 찍은 후, 전압을 더 인가하여도 전류는 증가하지 않고 감소하는 모양을 보인다. 반대의 경우도 마찬가지로 전류가 더 감소하지 않고 증가한다
이는 이전 CV 포스팅에서 설명하였듯이 작업전극에 음의 방향에 전압을 가하면 환원이 되며, 계면에 존재하는 농도가 감소함에 따라 환원이 더 이상 일어나지 않아 전류가 감소한다.
반대의 경우엔 환원으로 생긴 환원물의 농도 감소로 산화 전류가 더 이상 흐르지 않아 산화 전류가 감소한다.
다시 말하자면 LSV를 통해서 산화 혹은 환원 안정성을 확인할 수 있는 것이다.
또 다른 예로 하단에 있는 LSV 그래프를 보자.
파란색과 빨간색의 곡선은 LiDFOB 첨가제 유무의 차이를 가진 전해질이다. 이때 LSV를 찍으면 빨간색 곡선은 약 5.7~5.8V에서 피크가 나타난 뒤, 6.8V쯤부터 산화 전류가 상승한다.
반면, 파란색은 피크점이 잘 보이지 않고 7.05V쯤에서 산화 전류가 상승한다. 이를 근거로 파란색 곡선이 산화 안전성이 더 크다고 볼 수 있다.
**참고로 배터리에서 전해질은 높은 전위에서도 안전성을 가져야 한다. 그렇지 않으면 전해질에서 산화 반응으로 발열이 생길 수 있기 때문.

*같이 보면 좋을 글
Cyclic voltammetry(CV) principle - 순환 전압전류법 원리
앞서 전기변색 파트에서 종종 등장했던 'Cyclic voltammetry(CV) - 순환 전압전류법' 원리에 대해 좀 더 자세히 살펴보고자 한다. 'Cyclic voltammetry(CV) - 순환 전압전류법'은 전기화학에서 기초적이자 중
washere.tistory.com
Cyclic voltammetry(CV) - 순환 전압전류법 원리 (2)
기존 Cyclic voltammetry(CV) - 순환 전압전류법에 대해 약간의 내용을 추가하고자 포스팅을 하나 더 하기로 했다. CV의 원리 첫 번째 포스팅은 아래 링크 참조(추가로 같이 보면 좋은 글은 아래 링크
washere.tistory.com
CA(Chronoamperometry)란 무엇일까? Chronoamperometry 원리
CA(Chronoamperometry) : 시간대전류법 전기화학적 특성을 측정하는 방법 중에 하나다. 측정 방법은 다음과 같다. 1. 평형 상태에 있는 전극에 특정 전압을 양(positive) 혹은 음(negative) 방향으로 인가한
washere.tistory.com
'과학과 공학 이야기 > 전기변색과 배터리' 카테고리의 다른 글
| XPS와 UPS의 차이는 뭘까? *XPS, UPS 원리 (1) | 2024.03.20 |
|---|---|
| XPS와 XRD의 차이와 원리는? (0) | 2023.10.19 |
| 3전극 시스템 사용하는 이유 *2전극 시스템과 3전극 시스템 차이 (0) | 2023.03.06 |
| 전기화학에서 알아야 할 것 : 전기이중층과 임피던스, cyclic voltammetry 원리 정리 요약 (1) | 2023.02.12 |
| XPS 원리와 분석 방법, X-ray Photoelectron Spectroscopy 원리 (12) | 2022.12.05 |
댓글