'Generalized Maxwell model(GMM = 일반화된 맥스웰 모델)'은 폴리머의 점탄성을 파악하기 위한 모델이다. maxwell wiechert model 혹은 prony model이라고도 불리곤 한다.
폴리머의 점탄성을 파악하는 모델은 White Metzner나 Giesekus 등에 모델도 있으나, 이는 유체 상태에서의 점탄성을 파악하기 위한 모델로서 사용된다.
반면, GMM은 고체 상태일 때의 점탄성 특성을 파악하기 위한 모델로서, 기존에 맥스웰 모델은 스프링(탄성)과 대시 포트(점성)를 직렬로 연결한 모형을 기반으로 하는데, GMM은 이를 병렬로 연결한 모형을 기반으로 한다. *병렬 적용 이유는 세그먼트 길이가 다르기 때문임.
외부에 응력이 가해졌을 때 탄성 변형이, 이후에는 대시 포트에 의한 점성 변형이 생기는데, 가해진 응력이 사라지면 탄성에 의한 변형률은 회복되나 점성에 의한 변형률은 회복되지 않는다. 고분자(폴리머)는 점성과 탄성의 특징을 모두 가지고 있으므로, 이러한 모형을 적용한 것이다.

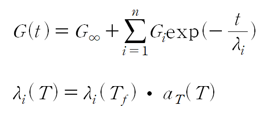
GMM의 수식은 아래와 같고, aT는 shift factor이다. 이동 지수는 탄성률 변화 예측을 위해 사용되는 수식이라고 보면 된다. 이동 지수는 WLF 혹은 아레니우스 수식을 이용한다. 그리고 이를 통해 시간에 따른 relaxation modulus를 예측할 수 있다. 측정은 유변학 물성 분석기기인 레오미터나 DMA를 이용한다. 이전에 점탄성에 대한 글을 썼으니 참고하면 좋다.

'과학과 공학 이야기 > 고분자' 카테고리의 다른 글
| 고분자 점탄성 분석기 DMA(Dynamic Mechanical Analyzer)의 원리 (0) | 2021.12.05 |
|---|---|
| 회전형 레오미터와 모세관형 레오미터의 원리 및 차이 (4) | 2021.11.05 |
| 고분자의 유리전이온도, 결정화온도, 용융온도 정의와 차이 Tg, Tc, Tm 차이 (11) | 2021.08.18 |
| PVT : Pressure, Volume, Temperature 거동 두 번째 (0) | 2021.07.21 |
| 고분자 결정화 구조, 결정성과 비결정성, 아브라미와 나카무라 방정식 (2) | 2021.07.13 |
댓글